Trigonometric Circles

1. Draw a Circle.

2. Draw Arcs of a Circle from 1 to 9.

3. Draw Coloured Concentric Circles.

4. Draw Concentric Tunnel.

 

Solutions

 

Save project regularly to your account.

 

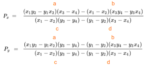
Point of Intersection

1. Formula.

2. Draw X and Y Axes.

3. Stamp Points and Draw Lines.

4. Calculate Point of Intersection.

5. Generate Random Numbers.

 

Solution

 

Save project regularly to your account.

 

Color Gradients

      
      
      

2. Combine Scripts.

 

Solution

 

Save project regularly to your account.

 

Intersecting Circles

1. Create an block.

2. Create a block.

3. Draw circles and calculate distance between centres.

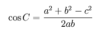
4. If circles intersect calculate points of intersection.

Use Cosine Rule.

5. Angles.

6. Draw lines from centres to points of intersection.

 

7. Intersecting Circles.

 

8. Not Intersecting Circles.

 

Solution

 

Save project regularly to your account.